浅析逻辑回归算法
逻辑回归算法在预测和判别应用上很广泛,今天我们一起来看看逻辑回归算法。
1.什么是逻辑回归
逻辑回归就是这样的一个过程:面对一个回归或者分类问题,建立代价函数,然后通过优化方法迭代求解出最优的模型参数,然后测试验 证我们这个求解的模型的好坏。
Logistic回归虽然名字里带“回归”,但是它实际上是一种分类方法,主要用于两分类问题(即输出只有两种,分别代表两个类别)
回归模型中,y是一个定性变量,比如y=0或1,logistic方法主要应用于研究某些事件发生的概率
2.逻辑回归的优缺点
优点:
1)速度快,适合二分类问题
2)简单易于理解,直接看到各个特征的权重
3)能容易地更新模型吸收新的数据
缺点:
对数据和场景的适应能力有局限性,不如决策树算法适应性那么强
3.逻辑回归和多重线性回归的区别
Logistic回归与多重线性回归实际上有很多相同之处,最大的区别就在于它们的因变量不同,其他的基本都差不多。正是因为如此,这两 种回归可以归于同一个家族,即广义线性模型(generalizedlinear model)。
这一家族中的模型形式基本上都差不多,不同的就是因变量不同。这一家族中的模型形式基本上都差不多,不同的就是因变量不同。
如果是连续的,就是多重线性回归
如果是二项分布,就是Logistic回归
如果是Poisson分布,就是Poisson回归
如果是负二项分布,就是负二项回归
4.逻辑回归用途
寻找危险因素:寻找某一疾病的危险因素等;
预测:根据模型,预测在不同的自变量情况下,发生某病或某种情况的概率有多大;
判别:实际上跟预测有些类似,也是根据模型,判断某人属于某病或属于某种情况的概率有多大,也就是看一下这个人有多大的可能性是 属于某病。
5.Regression 常规步骤
寻找h函数(即预测函数)
构造J函数(损失函数)
想办法使得J函数最小并求得回归参数(θ)
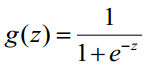
6.构造预测函数h(x)
1) Logistic函数(或称为Sigmoid函数),函数形式为:


对于线性边界的情况,边界形式如下:

其中,训练数据为向量

最佳参数

构造预测函数为:

函数h(x)的值有特殊的含义,它表示结果取1的概率,因此对于输入x分类结果为类别1和类别0的概率分别为:

7.构造损失函数J(m个样本,每个样本具有n个特征)
Cost函数和J函数如下,它们是基于最大似然估计推导得到的。

谢谢观看,希望对您有所帮助,欢迎指正错误,欢迎一起讨论!!!









